学院首页

通知公告

学院首页 > 通知公告 > 正文

【通知公告】动物科学学院2025年秋季学期党员教育考核不合格人员名单公示

发布日期:2026-01-13    点击:

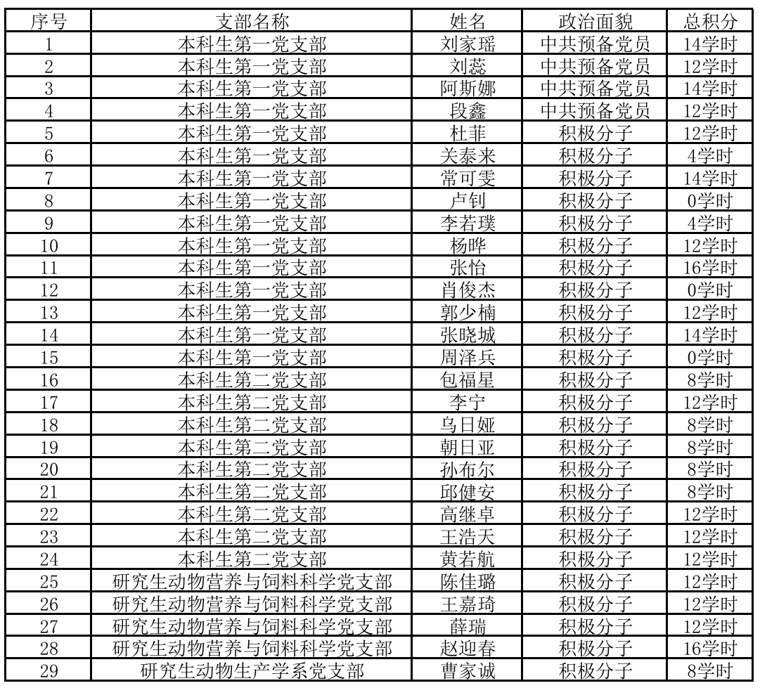
根据《动物科学学院2025年秋季学期党员教育管理方案》的有关细则,现公布2025年秋季学期党员教育考核评定为不合格人员具体名单:

70097

希望以上同学们积极参与党员教育活动,不断向党组织靠拢,早日成为一名合格的共产党员。

动物科学学院分党校

2026年1月13日

地址:内蒙古呼和浩特市昭乌达路306号

电话:0471-4309170  传真: 0471-4309170  邮编:010018

Copyright 2022 All Rights Reserved 内蒙古农业大学动物科学学院 版权所有 蒙ICP备05000415-1号


动物科学学院动物科学学院